In this tutorial, I explain the concept, probabilistic sensor fusion model and the sensor model used in Octomap library.
related publication: OctoMap: An Efficient Probabilistic 3D Mapping Framework Based on Octrees

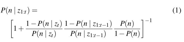
2)Probabilistic Sensor Fusion Model

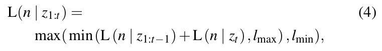
3)Sensor Model for Laser Range Data
